![]() | ![]() | 2 0 2 5 sügis päevased õpperühmad | ![]() |
tagasi 
Tea peast oma ÜLIÕPILASKOODI !Jäta meelde oma üliõpilaskood (selle 6 numbrit) — mida võidakse mõnes kohas nimetada ka "matriklinumbriks".(oma üliõpilaskoodi teadmine on vajalik ka tulevikus : ära mõtlegi, et jääd seda kuskilt "maha vaatama" läbi kõikide õppeaastate . . . ) | ![]() |
( CALC.EXE ) ja määrata talle seaded View-Programmer ja Dec (kümnendsüsteem) ja Qword:












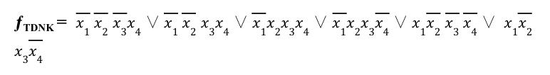
(loogikaavaldise sellist väljanägemist pole õppematerjalides mitte kuskil !?)






| |
tagasi
H. Lensen
hl@cc.ttu.ee