Leitud VEAD  

raamatus     

Diskreetne matemaatika  
redaktsioon   2003
[9 viga]
seisuga:  september 2006  
printimiskőlblik   .PDF                        
  lk.  280    trükitud:  
  peab olema:  

  lk. 42   trükitud:  
  peab olema:  

  lk.  213    trükitud:  
  peab olema:  

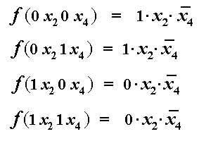
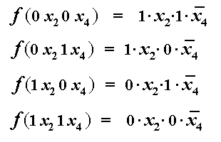
  lk. 246   trükitud:  
  peab olema:  

  lk. 215   trükitud:  
  peab olema:  

  lk. 237   trükitud:  
  peab olema:  

  lk. 199   trükitud:  
  peab olema:  

  lk. 17   trükitud:  
  peab olema:  

  lk. 119 120   trükitud:  
  peab olema:  

H. Lensen     hl@cc.ttu.ee